• Помогите решить неравенство и систему неравенств
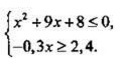
    Система:
    { x^2 + 9x + 8 <= 0
    { -0,3 >= 2,4

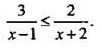
    Неравенство:
    3/x-1 <= 2/x+2
    ( / - дробь )

    question img
    question img

Ответы 1

  • Приложение Photomath либо MyScriptCalculator.Если эти приложения тебе помогут то поставь лайк и отметь лучшим ответом:)
    • Автор:

      otis7
    • 6 лет назад
    • 0
  • Добавить свой ответ

Войти через Google

или

Забыли пароль?

У меня нет аккаунта, я хочу Зарегистрироваться

How much to ban the user?
1 hour 1 day 100 years