• Найти производные.
    С разъяснением, пожалуйста.

    question img

Ответы 1

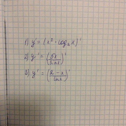
  • 1. \ \ (x^2 \cdot \log_3x)' = (x^2 \cdot \frac{\ln x}{\ln 3})' = (x^2)' \cdot \frac{\ln x}{\ln 3} + x^2 \cdot (\frac{\ln x}{\ln 3})' = \\ = 2x\frac{\ln x}{\ln 3} + x^2\frac{1}{x \ln 3} = \frac{x}{\ln3}(2 \ln x+1). \\
2. \ \ (\frac{5x}{\sin x})' = \frac{(5x)' \cdot \sin x - 5x \cdot (\sin x)'}{\sin^2x}  = \frac{5 \sin x - 5x \cdot \cos x}{\sin^2x}.3. \ \ (\frac{2-x}{\ln x})' = \frac{(2-x)' \ln x - (2-x)(\ln x)'}{\ln^2 x} = \frac{(-1) \ln x - (2-x)(1/x)}{\ln^2 x} = \\ = \frac{-x\ln x - (2-x)}{x\ln^2 x} = \frac{x+2 - x\ln x}{x\ln^2 x}.
    • Автор:

      hampton
    • 6 лет назад
    • 0
  • Добавить свой ответ

Войти через Google

или

Забыли пароль?

У меня нет аккаунта, я хочу Зарегистрироваться

How much to ban the user?
1 hour 1 day 100 years