• Помогите решить П.10, пожалуйста (срочно(!!!))
    Желательно с объяснением, заранее спасибо!

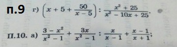
    question img

Ответы 2

  • ох, мне нужно было П.10, а П.9 уже сделал. Но все равно спасибо!)
    • Автор:

      chieff7za
    • 6 лет назад
    • 0
  • Буду рада если чем то помогла
    answer img
    • Автор:

      skyler
    • 6 лет назад
    • 0
  • Добавить свой ответ

Войти через Google

или

Забыли пароль?

У меня нет аккаунта, я хочу Зарегистрироваться

How much to ban the user?
1 hour 1 day 100 years