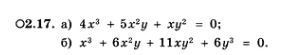
• Прошу помочь с решением а).
    У меня не получается сделать до конца.

    question img

Ответы 1

  • 1) х1=0, тогда 0=0, у1 любое. 2) Делим всё на х. 4x^2+5xy+y^2=0 Делим всё на y^2. 4(x/y)^2+5(x/y)+1=0 Замена x/y=t 4t^2+5t+1=(4t+1)(t+1)=0 t1=x/y=-1; x2 любое, кроме 0, y2=-x2. t2=x/y=-1/4; x3 любое, кроме 0, y3=-4x3
    • Автор:

      scoutuxga
    • 6 лет назад
    • 0
  • Добавить свой ответ

Войти через Google

или

Забыли пароль?

У меня нет аккаунта, я хочу Зарегистрироваться

How much to ban the user?
1 hour 1 day 100 years