• ОЧЕНЬ СРОЧНО!!!
    Запишите обыкновенную десятичную дробь в виде периодической дроби:
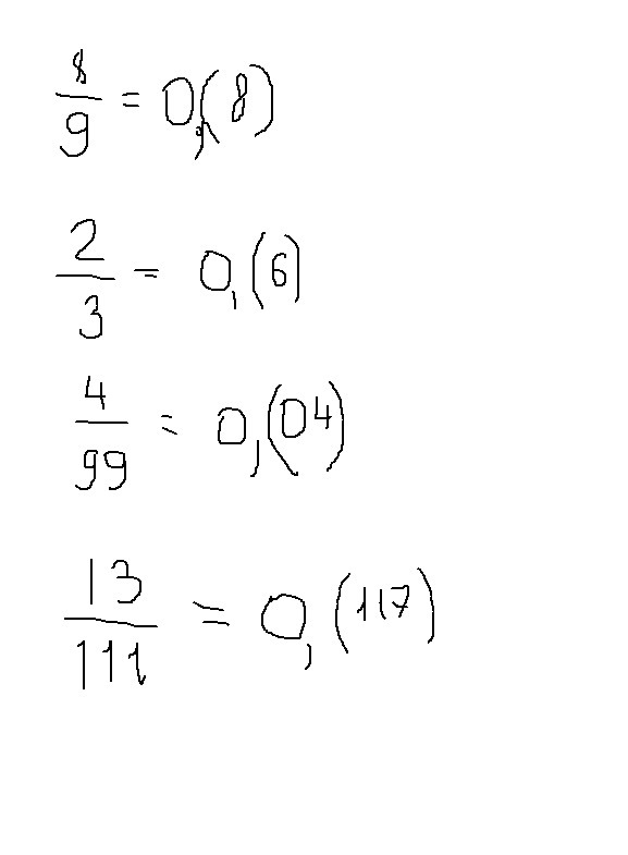
    1)8/9
    2)2/3
    3)4/99
    4)13/111

Ответы 1

  • ответ в приложенном файле
    answer img
  • Добавить свой ответ

Войти через Google

или

Забыли пароль?

У меня нет аккаунта, я хочу Зарегистрироваться

How much to ban the user?
1 hour 1 day 100 years