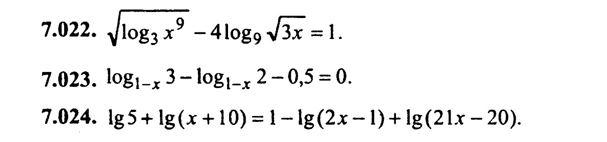
• Логарифмы (десятичные тоже). Решить уравнения.
    Пожалуйста, пишите решение как можно более пошагово и подробно, максимально объясняя, если вы используете какую-либо формулу, то можете не писать всю форумулу а указать ее номер из второй картинки. Например: здесь я использовал формулу (3), тогда будет понятно.
    Пишите номер задания на кот. отвечаете 7.022 или 7.023 или 7.024

    question img
    question img

Ответы 5

  • 7.023 вторая строчка, стрелочка вверх и двойка справа означает возвед. в степень левой и правой чисто тех. вопрос, если бы справа был бы многочлен и слева тоже. Наприме трехчлены и справа и слева, то нужно возводить в скобках (x+12-log_6 6)^2 или по отдельности x^2+12^2... Вы поняли что я спросил?
    • Автор:

      shania
    • 6 лет назад
    • 0
  • 7.024 переход от первой строчки ко второй. Как сделали? Что за формула, что появилась (21х-20) в знаменателе? Насколько я понял, это не деление левой и правой на (21х-20), а что?
    • Автор:

      powell
    • 6 лет назад
    • 0
  • 7.024 Понятно, переход ко второй строчке в числителе это формула (4), то, что в знаменателе это ф-ла (5). Деление и произведение логарифмов.
    • Автор:

      buzzpbfv
    • 6 лет назад
    • 0
  • 7.023. Да, это возведение в квадрат левой и правой частей. А если бы трехчлены, то возводить в квадрат надо именно трехчлены, а не кажжое слагаемое отдельно
    • Автор:

      persy62
    • 6 лет назад
    • 0
  • Использованы формулы 2, 4, 5, 6 со второй картинки, т.е. логарифмы произведения, дроби,  степени
    answer img
  • Добавить свой ответ

Войти через Google

или

Забыли пароль?

У меня нет аккаунта, я хочу Зарегистрироваться

How much to ban the user?
1 hour 1 day 100 years