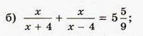
• Решите плз это легкое уравнение )
    даю 15 баллов

    question img

Ответы 1

  • x(x-4)+x(x+4)=5 5\9(x^2-16)9x^2-36x+9x^2+36x\9(x^2-16)=50(x^2-16)\9(x^2-16)18x^2=50x^2-80018x^2-50x^2=-800-32x^2=-800x^2=-800^(-32)x^2=25x=5  x=-5
  • Добавить свой ответ

Войти через Google

или

Забыли пароль?

У меня нет аккаунта, я хочу Зарегистрироваться

How much to ban the user?
1 hour 1 day 100 years