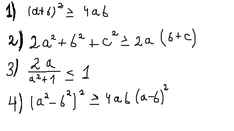
• (Алгебра 10 класс,мб 9) Докажите что для любых действительных чисел a,b,c,x справедливы неравенства:

    question img

Ответы 2

  • спасибо огромное
    • Автор:

      brylee
    • 6 лет назад
    • 0
  • 1(a+b)²-4ab≥0a²+2ab+b²-4ab≥0a²-2ab+b²≥0(a-b)²≥0Квадрат числа -число всегда положительное или равное 022a²+b²+c²-2ab-2ac≥0(a²-2ab+b²)+(a²-2ac+c²)≥0(a-b)²+(a-c)²≥0Квадрат числа -число всегда положительное или равное 0⇒сумма положительных-положительна32a/(a²+1)-1≤0(2a-a²-1)/(a²+1)≤0(a²-2a+1)/(a²+1)≥0(a-1)²/(a²+1)>0Квадрат числа -число всегда положительное или равное 0Cумма положительных-положительнаЧастное положительных-положительно4(a-b)²(a+b)²-4ab(a-b)²≥0(a-b)²[(a+b)²-4ab]≥0(a-b)²(a²+2ab+b²-4ab)≥0(a-b)²(a²-2ab+b²)≥0(a-b)²(a-b)²≥0(a-b)^4≥0Число в четной степени  всегда больше или равно 0
    • Автор:

      sonnyshea
    • 6 лет назад
    • 0
  • Добавить свой ответ

Войти через Google

или

Забыли пароль?

У меня нет аккаунта, я хочу Зарегистрироваться

How much to ban the user?
1 hour 1 day 100 years