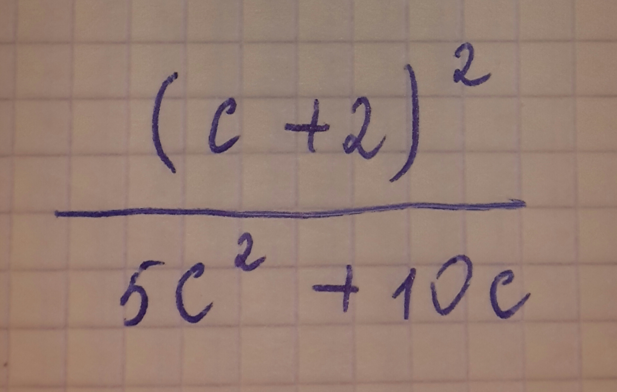
• Сократите, разложив чтслитель и знаменатель на множители.

    question img

Ответы 1

  • \frac{(c+2)^2}{5c^2+10c} = \frac{(c+2)(c+2)}{5c(c+2)} = \frac{c+2}{5c}
    • Автор:

      jenna67
    • 6 лет назад
    • 0
  • Добавить свой ответ

Войти через Google

или

Забыли пароль?

У меня нет аккаунта, я хочу Зарегистрироваться

How much to ban the user?
1 hour 1 day 100 years