• Представьте, если возможно, выражение в виде степени. (пожалуйста формулы сокращенного умножения не использовать)

    question img

Ответы 4

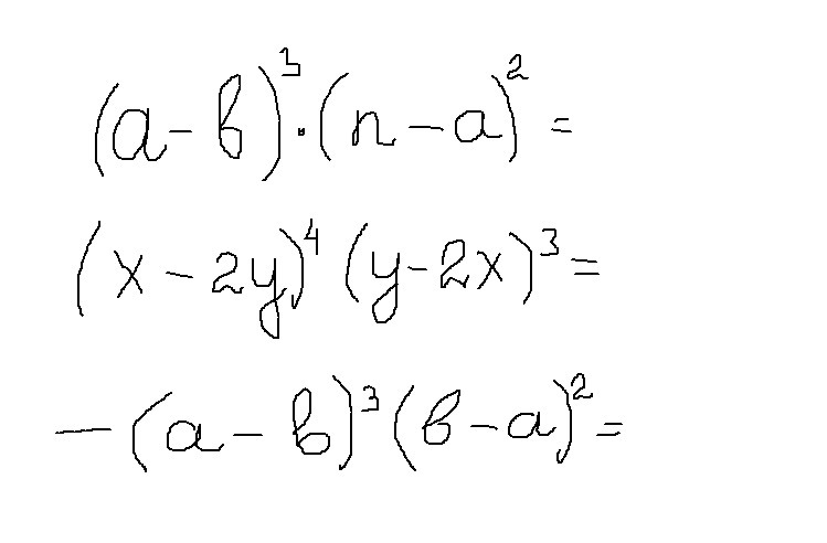
  • я не ошиблась. Именно в скобках было (а-в) и (n-a), (х-2у) и (у-2х). Но все равно спасибо!
    • Автор:

      pierce74
    • 6 лет назад
    • 0
  • Если (а-b)^3(n-b) ^2, то преобразовать выражение в степень невозможно.
    • Автор:

      tank
    • 6 лет назад
    • 0
  • Я тоже так думала, но была не уверена. Спасибо. Ваш ответ очень мне помог.
    • Автор:

      frida
    • 6 лет назад
    • 0
  • 3)\quad a-b=-(b-a)\quad \to \\\\(a-b)^3(b-a)^2=(a-b)^3(-(a-b))^2=(a-b)^5\\\\2)\quad x-2y=-(2y-x)\quad \to \\\\(x-2y)^4(2y-x)^3=(x-2y)^4(-(x-2y))^3=-(x-2y)^7\\\\1a)\quad (a-b)^3(n-b)^2=(a-b)^3(n-a)^2\; \; \; (!!!)\\\\1b)\quad a-b=-(b-a)\quad \to \\\\(a-b)^3(b-a)^2=(a-b)^3(-(a-b))^2=(a-b)^5(-1)^2=+1\\(-1)^3=-1
  • Добавить свой ответ

Войти через Google

или

Забыли пароль?

У меня нет аккаунта, я хочу Зарегистрироваться

How much to ban the user?
1 hour 1 day 100 years