• Срочно!Прошу помогите!Завтра уже сдавать!Буду очень-очень благодарна

    question img

Ответы 5

  • Господи , спасибо!
    • Автор:

      adele
    • 6 лет назад
    • 0
  • Нез) Надеюсь всё понятно.. Так-же могу скинуть тебе в сообщения онлайн калькулятор дробей
    • Автор:

      chana
    • 6 лет назад
    • 0
  • Не нужно ,большое -большое спасибо!))))))
  • Да не за что)
    • Автор:

      bridgett
    • 6 лет назад
    • 0
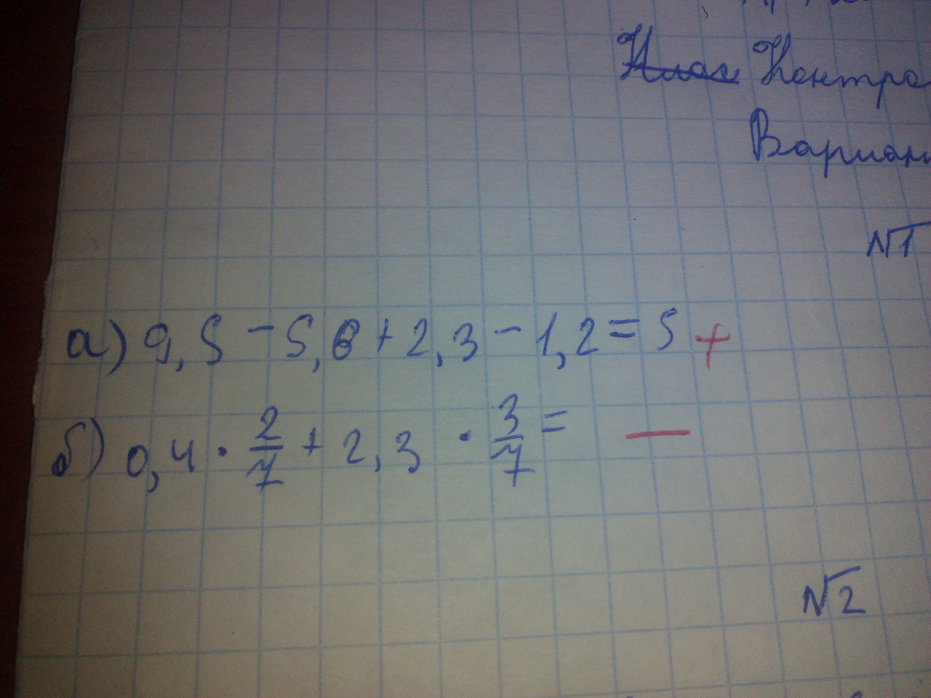
  • б) 1.  0,4 · 2\7 = 4\35

    Сократим первую дробь:

    4\10 = 2·2\5·2 = 2\5

    Умножим две дроби:

    2\5 × 2\7 = 2·2\5·7 = 4\35

    2.  2,3 · 3\7 = 69\70

    Преобразуем первое смешанное число в неправильную дробь:

    2 (целое число) 3\10 = 3 + 2·10\10 = 23\10

    Умножим две дроби:

    2 3\10 × 3\7 = 23·31\0·7 = 69\703.  4\35 + 69\70 = 11\10 = 1 + 1·10\10 = 1 1\10
    • Автор:

      kayley
    • 6 лет назад
    • 0
  • Добавить свой ответ

Войти через Google

или

Забыли пароль?

У меня нет аккаунта, я хочу Зарегистрироваться

How much to ban the user?
1 hour 1 day 100 years