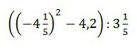
• Вычислите значение выражения. Ответ представьте в форме десятичной дроби. Помните, что дробная часть отделяется от целой части с помощью ЗАПЯТОЙ

    question img

Ответы 1

  • ((-4 1/5)²-4,2):3 1/5 = (((21*21)/(5*5)-4,2):16/15 = (441-4,2):16/15 = 436,8:16/15 = 27,3
  • Добавить свой ответ

Войти через Google

или

Забыли пароль?

У меня нет аккаунта, я хочу Зарегистрироваться

How much to ban the user?
1 hour 1 day 100 years