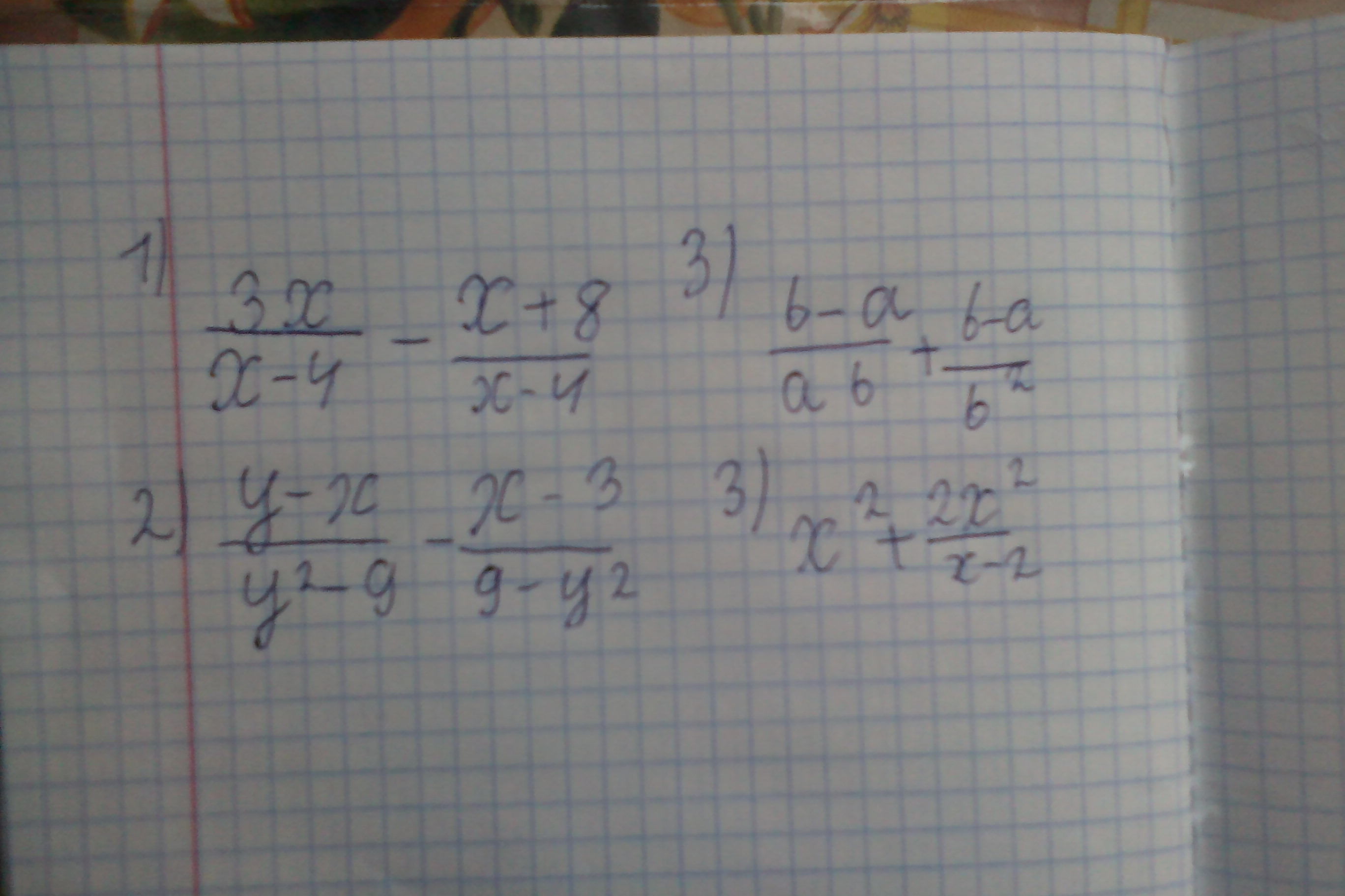
• Решительно пожалуйста выражение. Тут на фотографии. Желательно сделать на листочке и сфотографировать :3 К/Р была просто. Пасиб кто сделал.

    question img
    question img

Ответы 1

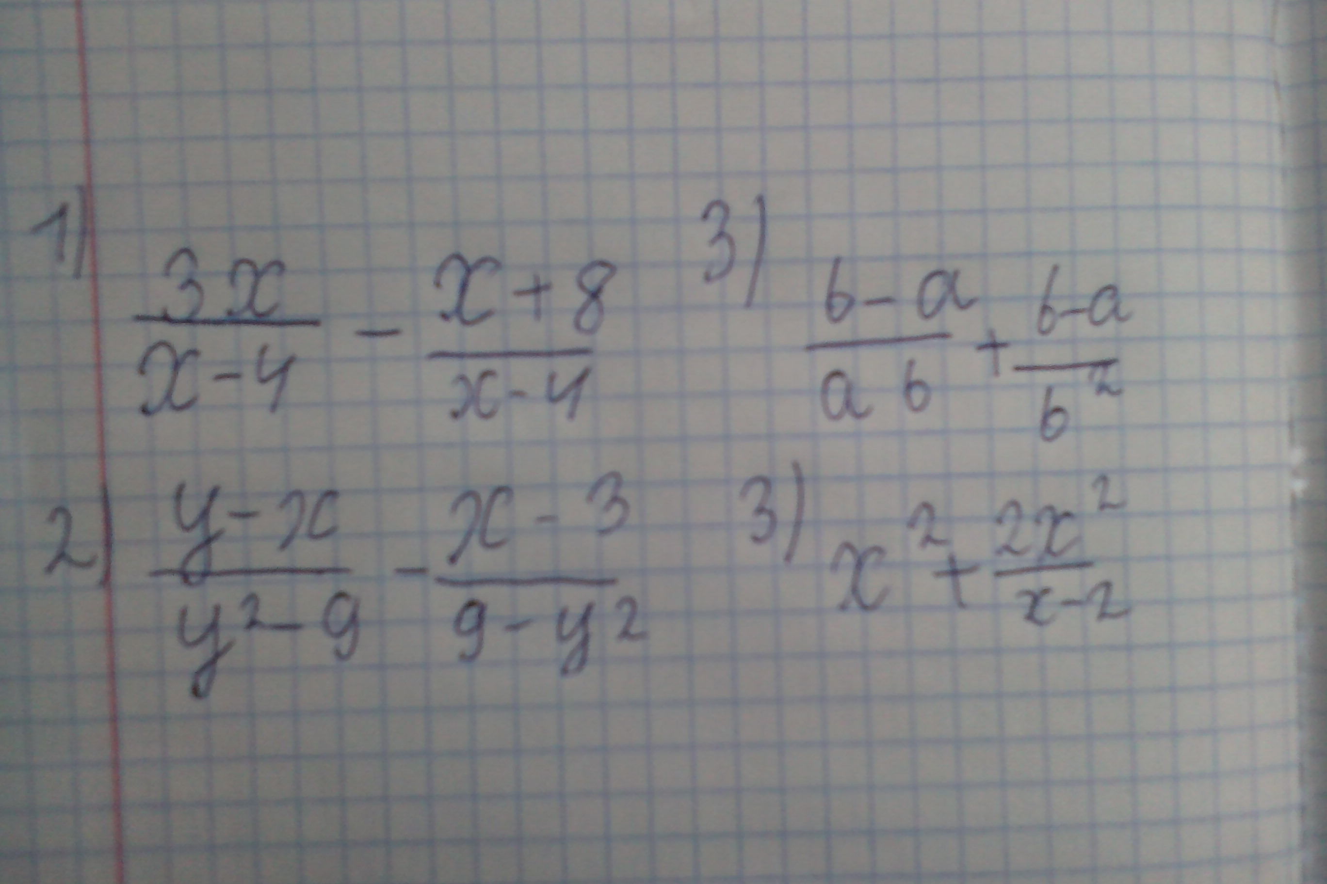
  • см. фото================
    answer img
    • Автор:

      grantpxce
    • 6 лет назад
    • 0
  • Добавить свой ответ

Войти через Google

или

Забыли пароль?

У меня нет аккаунта, я хочу Зарегистрироваться

How much to ban the user?
1 hour 1 day 100 years