• Помогите пожалуйста срочно даю 150 баллов

    question img

Ответы 1

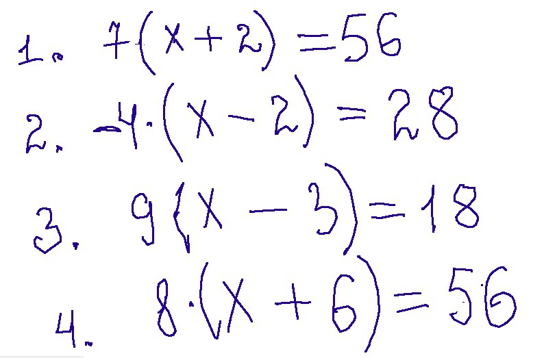
  • 7 (х+2)=567х+14=567х=56-147х=42х=42÷7х=6-4(х-2)=28-4х+8=28-4х=28-8-4х=20х=20÷(-4)х= -59 (х-3)=189х-27=189х=18+279х=45х=45÷9х=58 (х+6)=568х+48=568х=56-488х=8х=8÷8х=1
    • Автор:

      kahlua
    • 6 лет назад
    • 0
  • Добавить свой ответ

Войти через Google

или

Забыли пароль?

У меня нет аккаунта, я хочу Зарегистрироваться

How much to ban the user?
1 hour 1 day 100 years