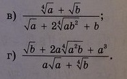
• сократите дроби, считая, что переменные принимают неотрицательные числа (дробь на картинке)

    question img

Ответы 1

  • Решаем по формулам сокращ. умножения.
    answer img
    • Автор:

      layla
    • 6 лет назад
    • 0
  • Добавить свой ответ

Войти через Google

или

Забыли пароль?

У меня нет аккаунта, я хочу Зарегистрироваться

How much to ban the user?
1 hour 1 day 100 years