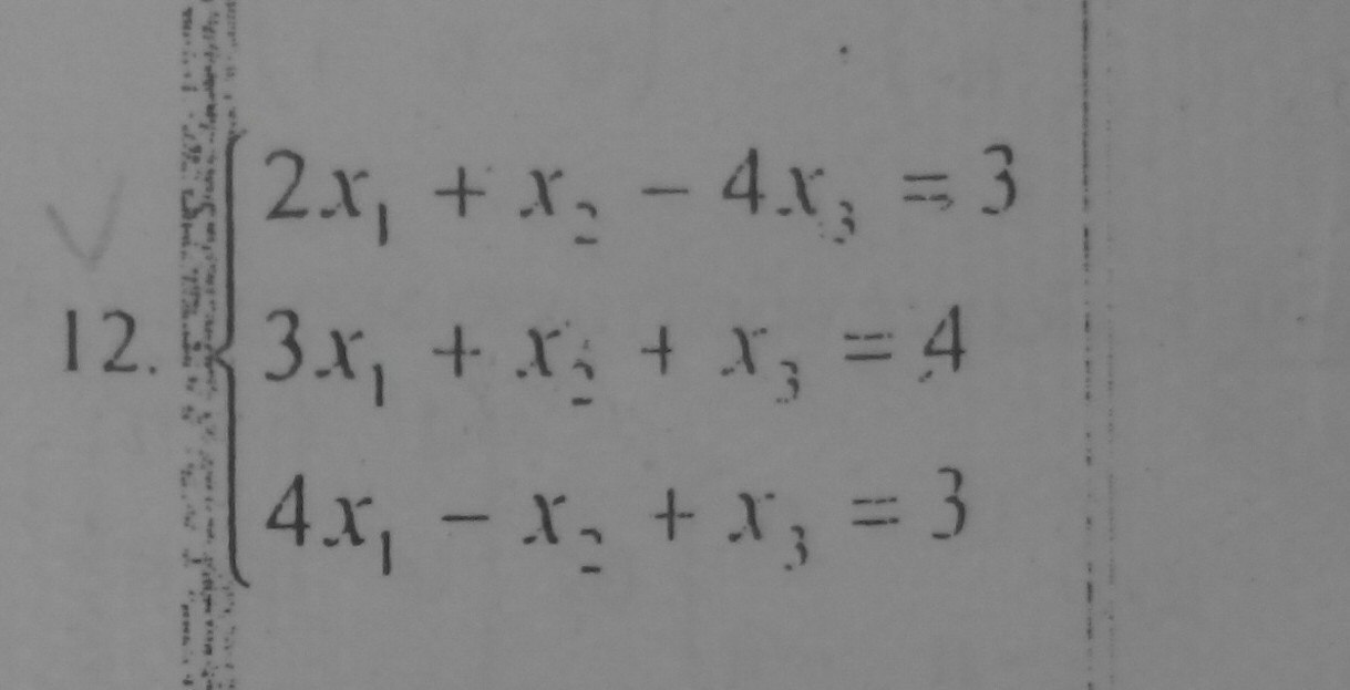
• Решите пожалуйста систему 3 способами , которые записаны в задании ( на фото в прикрепленном файле ) Очень нужно не понял тему, пропустил , пока на соревнованиях был

    question img
    question img

Ответы 1

  • решение смотри во вложении
    answer img
    • Автор:

      macyfwia
    • 6 лет назад
    • 0
  • Добавить свой ответ

Войти через Google

или

Забыли пароль?

У меня нет аккаунта, я хочу Зарегистрироваться

How much to ban the user?
1 hour 1 day 100 years