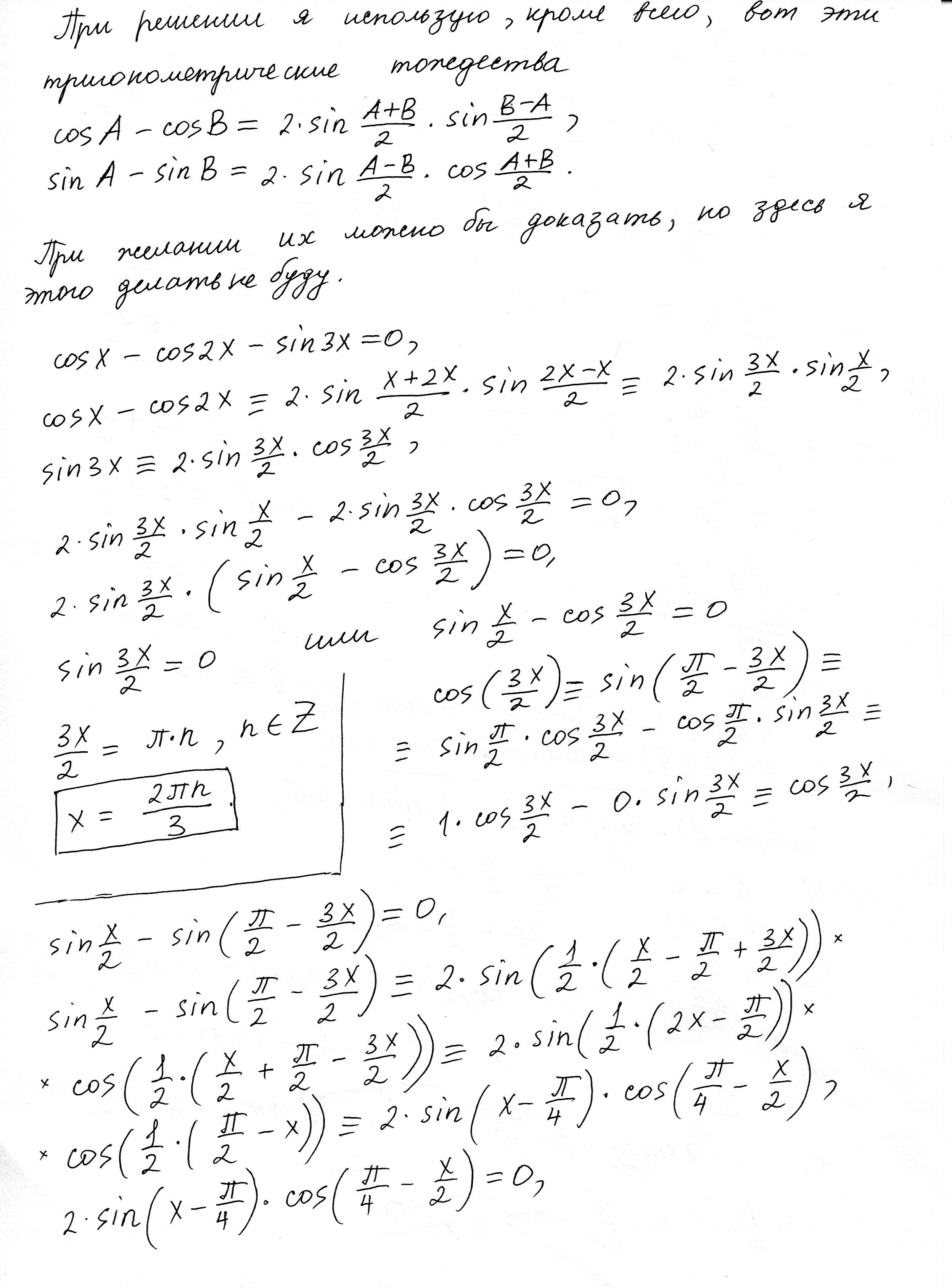
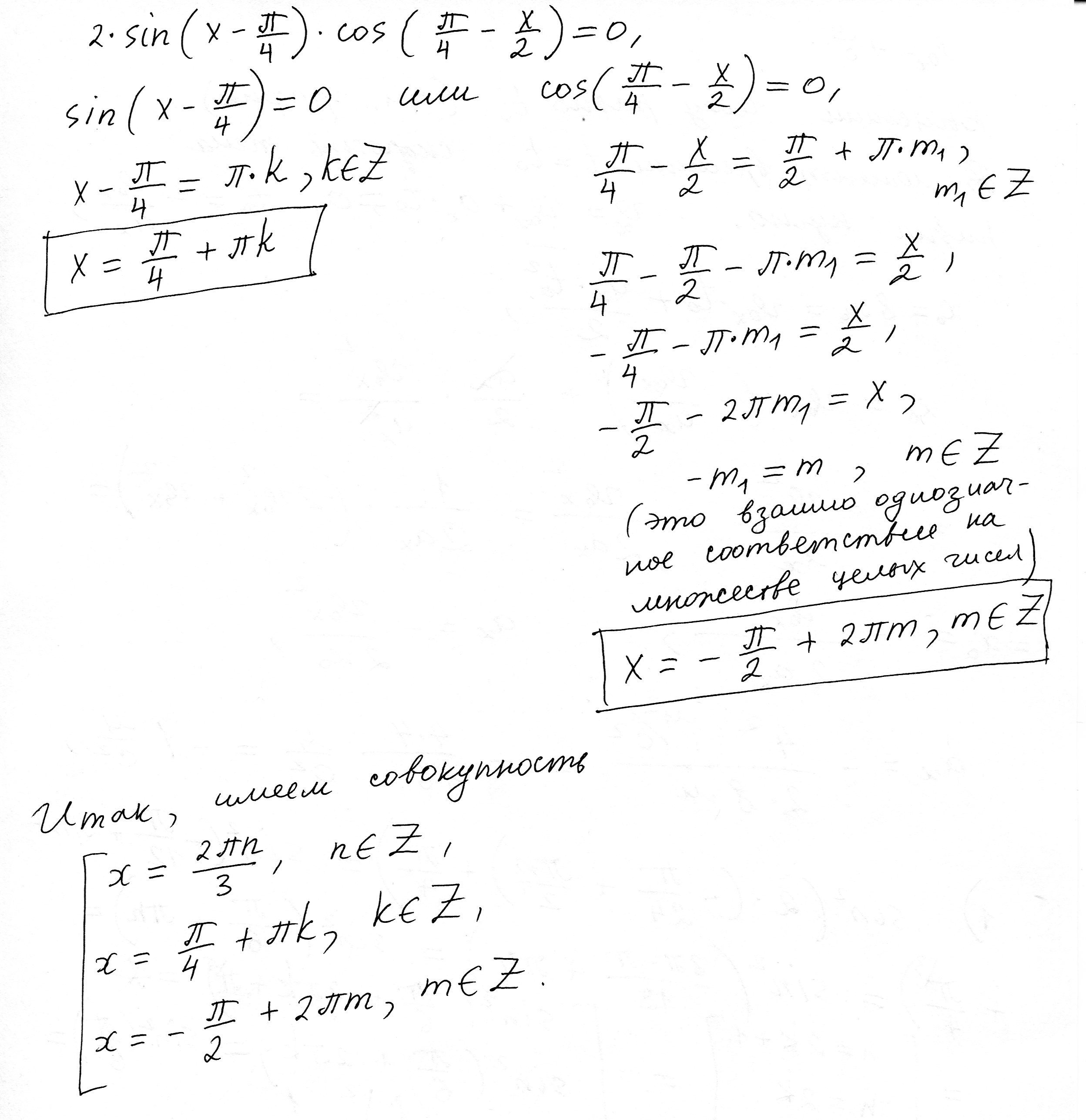
• решить cosx-cos2x-sin3x=0

Ответы 1

  • я прикрепил решения ниже на листочках.
    answer img
    answer img
  • Добавить свой ответ

Войти через Google

или

Забыли пароль?

У меня нет аккаунта, я хочу Зарегистрироваться

How much to ban the user?
1 hour 1 day 100 years