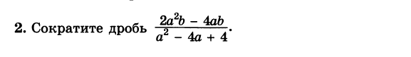
2ab(a-2) = 2ab
(a-2)^2 a-2
Автор:
elvisericksonАвтор:
claudiogibsonДобавить свой ответ
ребят, объясните пожалуйста, как решить? При угадывании целого числа в диапазоне от 1 до N было получено 8 бит информации. чему равно N?
Предмет:
ИнформатикаАвтор:
willieОтветов:
Смотреть
Cемиклассник преобразовал выражение M=m^2-81n^2 и N=6b^7-24b^4 в произведения.
Высота главного здания МГУ на Воробьевых горах в Москве 237 м. Какова атмосферное давление на его шпиле, если у основания здания оно состовляет 745мм?
Предмет:
ГеографияАвтор:
bryleerc7mОтветов:
Смотреть
Как по-английски дословно будет фраза: "Иди дальше, ты мне не нужен"?
Предмет:
Английский языкАвтор:
emma24Ответов:
Смотреть