• Помогите упростить
    16-2х/8+7х-х2(в квадрате)
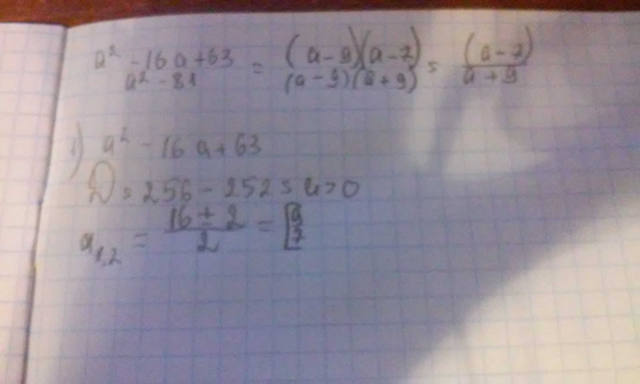
    а2(в квадрате)-16а+63/а2(в квадрате)-81

Ответы 1

  • Смогла только 2, но в 1 точно 16-2x?
    answer img
    • Автор:

      bluedwcw
    • 2 года назад
    • 4
  • Добавить свой ответ

Войти через Google

или

Забыли пароль?

У меня нет аккаунта, я хочу Зарегистрироваться

How much to ban the user?
1 hour 1 day 100 years