• сделайте из первых 3
    1 номер любой

    question img

Ответы 1

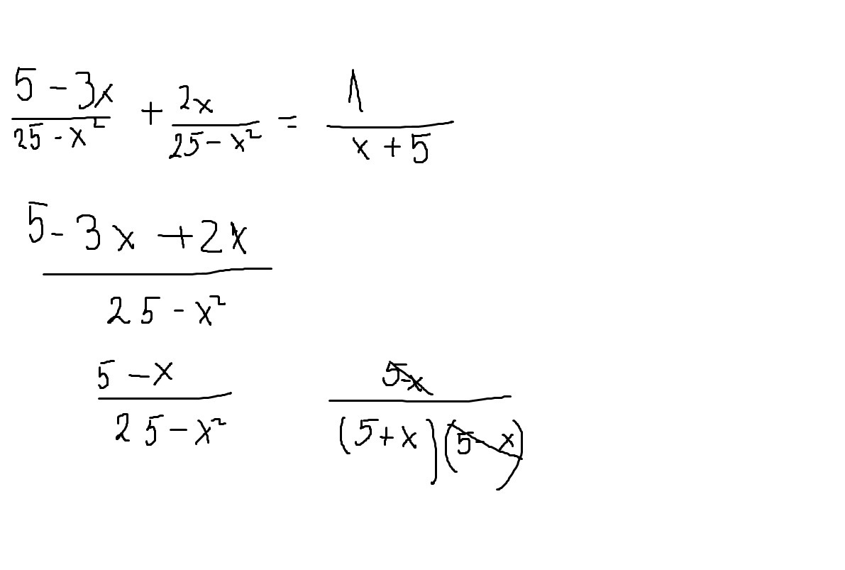
  • решение приложил ниже
    answer img
    • Автор:

      abbieci0k
    • 2 года назад
    • 5
  • Добавить свой ответ

Войти через Google

или

Забыли пароль?

У меня нет аккаунта, я хочу Зарегистрироваться

How much to ban the user?
1 hour 1 day 100 years