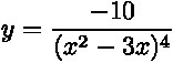
• Будьте добры, решите производную прикрепленную к заданию, чтобы сверить решения.

    question img

Ответы 1

  • (-10(x^{2}-3x)^{-4})'=40*(x^{2} - 3x)^{-5}*(x^{2}-3x)'= \frac{40(2x-3)}{ (x^{2}-3x)^{5} }
    • Автор:

      marley
    • 6 лет назад
    • 0
  • Добавить свой ответ

Войти через Google

или

Забыли пароль?

У меня нет аккаунта, я хочу Зарегистрироваться

How much to ban the user?
1 hour 1 day 100 years