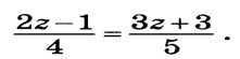
• Расскажите подробно и кратко как решить такое уравнение?Пожалуйста!! :с

    question img

Ответы 2

  • Как у тебя вторая строка получилась?
    • Автор:

      tataghnc
    • 6 лет назад
    • 0
  • Пропорцию составила. Чилитель первого выражения умножила на знаменатель второго и наоборот.
    • Автор:

      roxiehw9a
    • 6 лет назад
    • 0
  • Добавить свой ответ

Войти через Google

или

Забыли пароль?

У меня нет аккаунта, я хочу Зарегистрироваться

How much to ban the user?
1 hour 1 day 100 years