• УРАВНЕНИЯ! ПОЖАЛУЙСТА ПОМОГИТЕ! ОЧЕНЬ СРОЧНО! Я не могу решить ;'(

    question img

Ответы 1

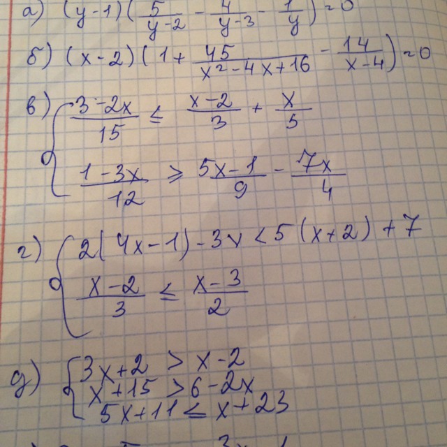
  • это  неравенство 

    (3-2x) /15 <=(x-2)/3+x/5

    (1-3x)/12 >=(5x-1)/9-7x/4

     

    3-2x <=5(x-2)+3x

    3(1-3x) >= 4(5x-1)- 63x

     

    3-2x <=5x-10+3x

    3-9x >=20x-4-63x

     

    13<=10x

    x>=13/10

     

    7 >=  -34x

    x<=7/-34

     

    То есть  интервал  x>=3/10

     

     

    2(4x-1)-3x <5(x+2)+7

     x-2/3 <=x-3 /2

     

    8x-2-3x<5x+17

    2x-4 <=3x-9

     

    нет

    x>=-4

     

     

    • Автор:

      maxim10
    • 6 лет назад
    • 0
  • Добавить свой ответ

Войти через Google

или

Забыли пароль?

У меня нет аккаунта, я хочу Зарегистрироваться

How much to ban the user?
1 hour 1 day 100 years