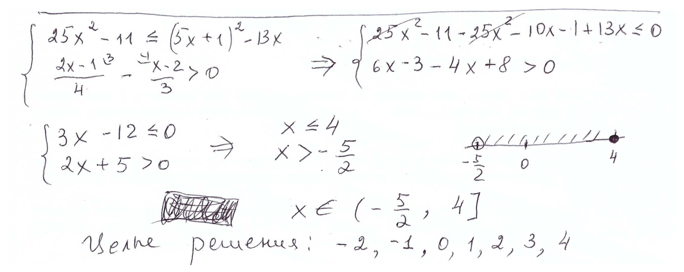
• Найдите целые решения системы неравенств:
    25x2-11 _< (5х+1)^2-13x
    (2х-1)/4-(х-2)/3>0

Ответы 1

  • Решение во вложенном файле
    answer img
    • Автор:

      ayaanigqk
    • 2 года назад
    • 20
  • Добавить свой ответ

Еще вопросы

Войти через Google

или

Забыли пароль?

У меня нет аккаунта, я хочу Зарегистрироваться

How much to ban the user?
1 hour 1 day 100 years