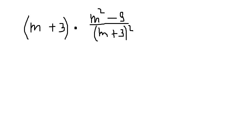
• Помогите с дробями пожалуйста)
    Выполните умножение:
    Можно просто ответ

    question img

Ответы 1

  • Если меня память не подводит (давно такое не решала) , то ответ : (m-3)
  • Добавить свой ответ

Войти через Google

или

Забыли пароль?

У меня нет аккаунта, я хочу Зарегистрироваться

How much to ban the user?
1 hour 1 day 100 years