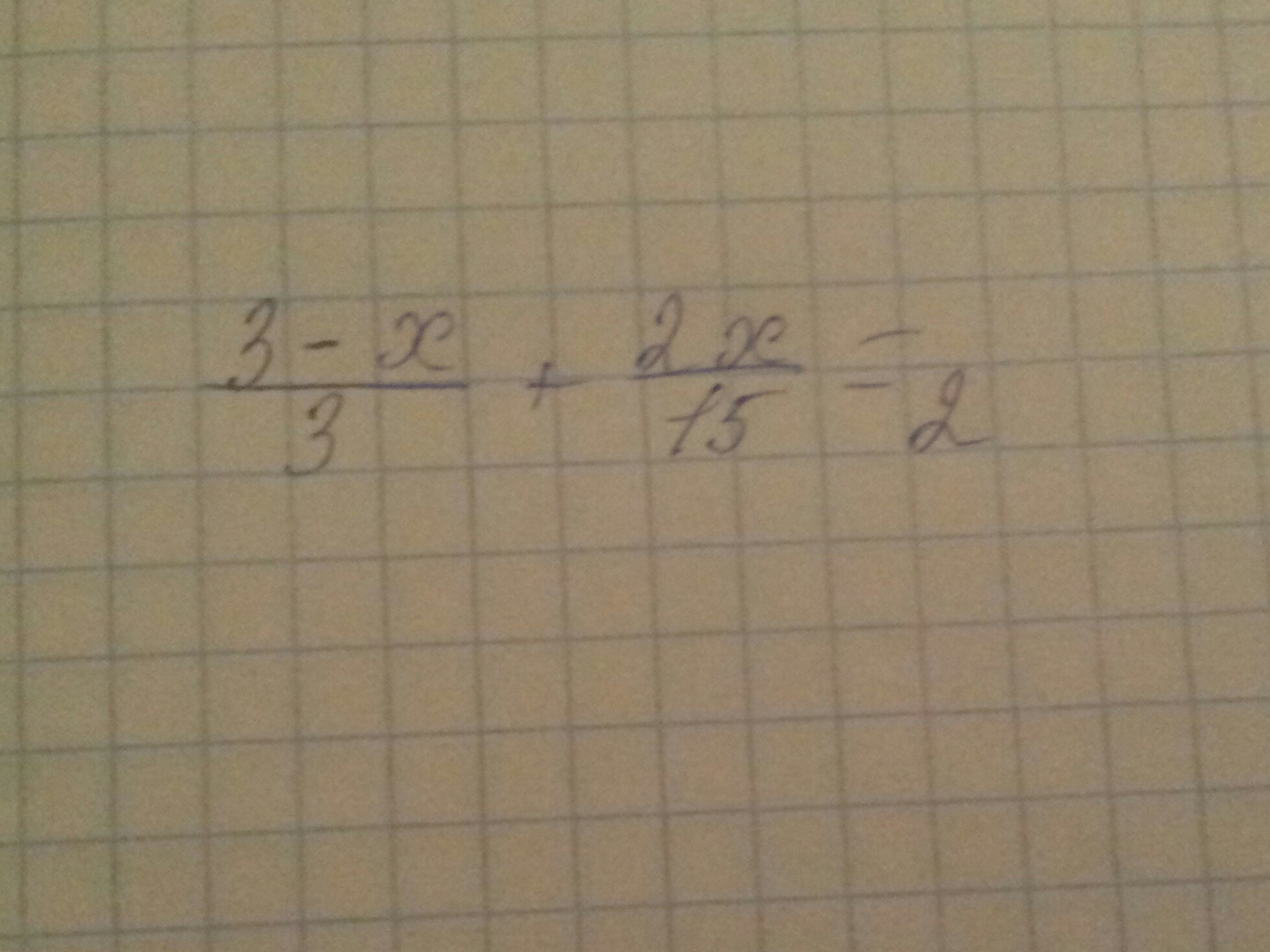
• Решите пожалуйста уравнение.Если возможно,то по-быстрей)))

    question img

Ответы 1

  • 15-5x+2x=30-3x=15x=-5
    • Автор:

      armani77
    • 6 лет назад
    • 0
  • Добавить свой ответ

Войти через Google

или

Забыли пароль?

У меня нет аккаунта, я хочу Зарегистрироваться

How much to ban the user?
1 hour 1 day 100 years