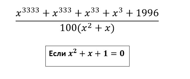
• Помогите, пожалуйста, найти значение этого выражения

    question img

Ответы 2

  • выражение на фото
  • где выражение???........
    • Автор:

      davondgt4
    • 6 лет назад
    • 0
  • Добавить свой ответ

Еще вопросы

Войти через Google

или

Забыли пароль?

У меня нет аккаунта, я хочу Зарегистрироваться

How much to ban the user?
1 hour 1 day 100 years