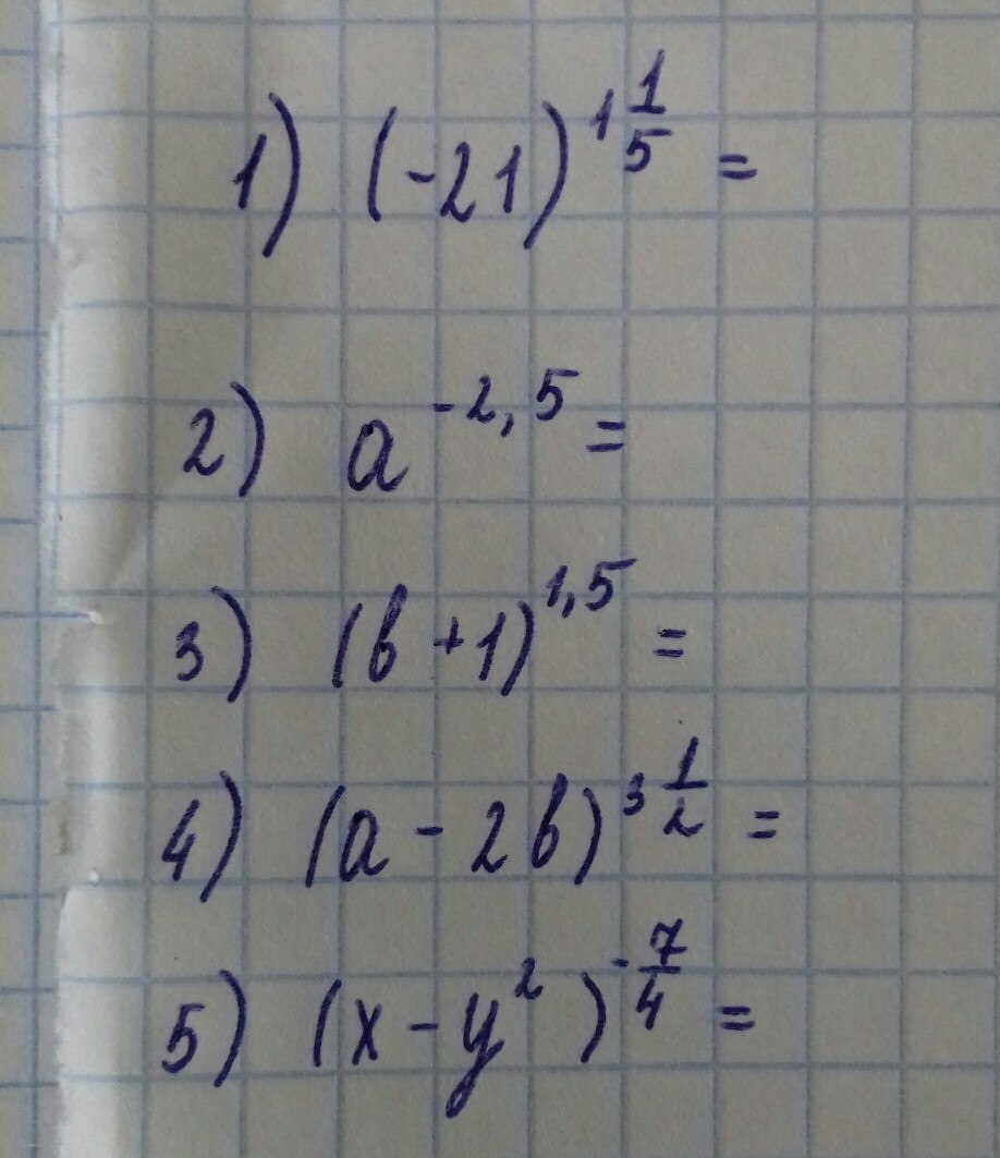
• Запишите следующие степени с дробными показателями в виде корней

    question img

Ответы 1

  • (-21) ^{1 \frac{1}{5} } =(-21) ^{ \frac{6}{5} } = \sqrt[5]{-21 ^{6} }  \\ a ^{-2,5} = \frac{1}{a ^{2,5}} = \frac{1}{a ^{2 \frac{1}{2} } } = \frac{1}{a ^{ \frac{5}{2} } } = \frac{1}{ \sqrt{a ^{5} } }  \\ (b+1) ^{1,5} =(b+1) ^{1 \frac{1}{2} } =(b+1) ^{ \frac{3}{2} } = \sqrt{(b+1)^{3} }  \\ (a-2b) ^{3 \frac{1}{2} } =(a-2b) ^{ \frac{7}{2} }= \sqrt{(a-2b) ^{7} }  \\ (x- y^{2} ) ^{- \frac{7}{4} } = \frac{1}{(x- y^{2} ) ^{\frac{7}{4} } } = \frac{1}{ \sqrt[4]{(x- y^{2} ) ^{7} } }
  • Добавить свой ответ

Войти через Google

или

Забыли пароль?

У меня нет аккаунта, я хочу Зарегистрироваться

How much to ban the user?
1 hour 1 day 100 years