• УМОЛЯЮ! Помогите!! Не знаю как решить!!!
    Отдаю последние баллы ((((
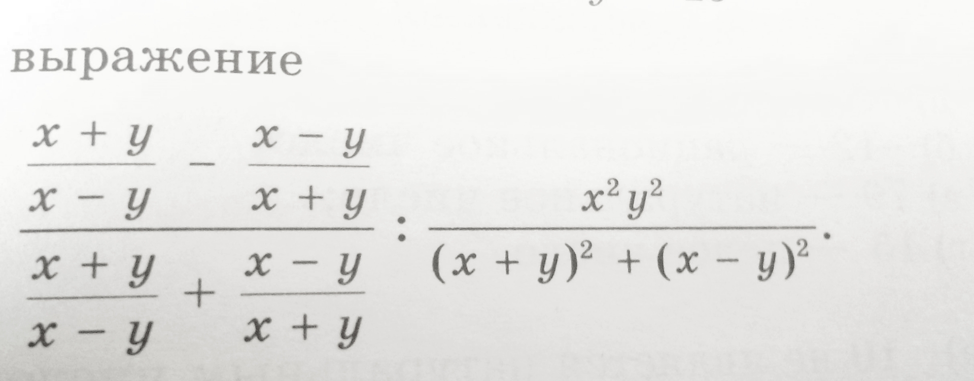
    Упростите выражение

    question img

Ответы 1

  • решение4yx / x^2 - y^2 / 4yx / x^2 - y ^2/ x^2y^2/ 2x^2 + 2y^2 = x^2y^2/(x+y)^2 + ( x-y)^2
    • Автор:

      kendall
    • 6 лет назад
    • 0
  • Добавить свой ответ

Войти через Google

или

Забыли пароль?

У меня нет аккаунта, я хочу Зарегистрироваться

How much to ban the user?
1 hour 1 day 100 years