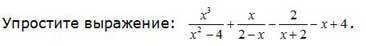
• Помогите Срочно!!! Желательно с подробным решением...

    question img
    question img
    question img

Ответы 2

  • там все три, посмотри внимательно
    • Автор:

      hughkvda
    • 6 лет назад
    • 0
  • Да. спасибо.
  • Добавить свой ответ

Войти через Google

или

Забыли пароль?

У меня нет аккаунта, я хочу Зарегистрироваться

How much to ban the user?
1 hour 1 day 100 years