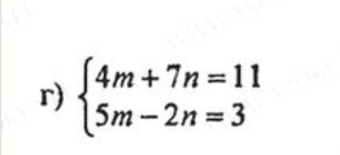
• Помогите пожалуйста решить систему уравнений методом сложения заранее спасибо

    question img

Ответы 1

  • если не ошибаюсь, это должно выглядеть так...
    answer img
    • Автор:

      pitts
    • 6 лет назад
    • 0
  • Добавить свой ответ

Войти через Google

или

Забыли пароль?

У меня нет аккаунта, я хочу Зарегистрироваться

How much to ban the user?
1 hour 1 day 100 years