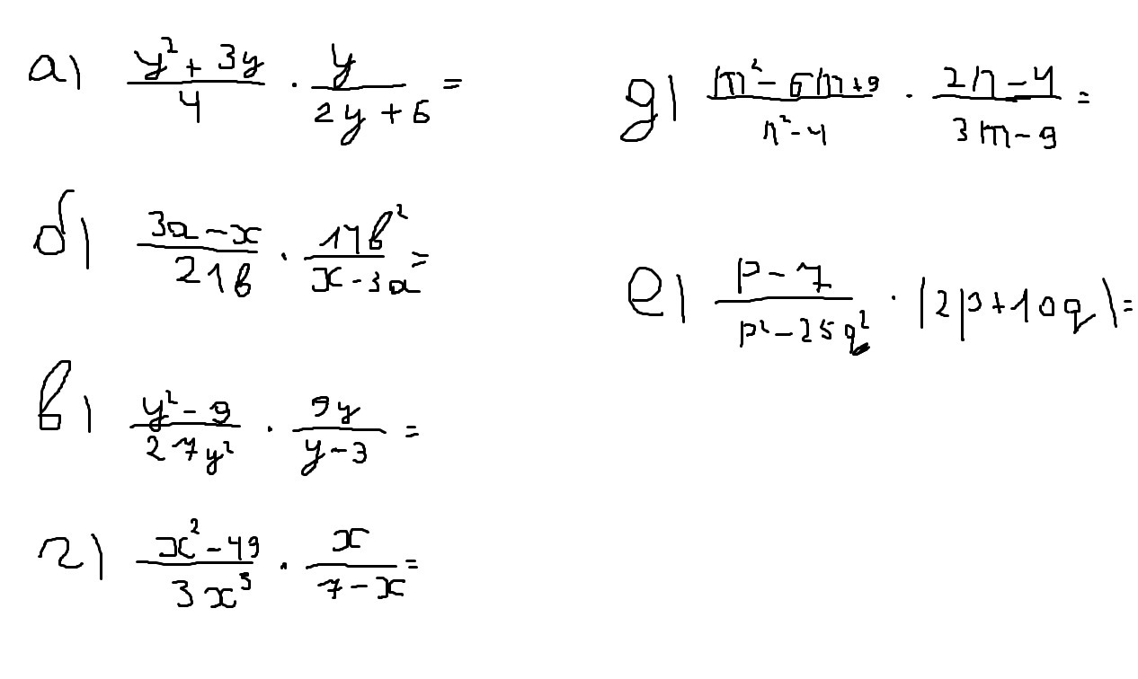
• УМНОЖЕНИЕ ДРОБЕЙ ПОМОГИТЕ !!!! ЕСЛИ МОЖНО ТО СКРИНАМИ

    question img

Ответы 2

  • почему в решение под г -(7-х)
  • Применяя формулы и т.д., примерно так
    answer img
    • Автор:

      calixto
    • 6 лет назад
    • 0
  • Добавить свой ответ

Войти через Google

или

Забыли пароль?

У меня нет аккаунта, я хочу Зарегистрироваться

How much to ban the user?
1 hour 1 day 100 years