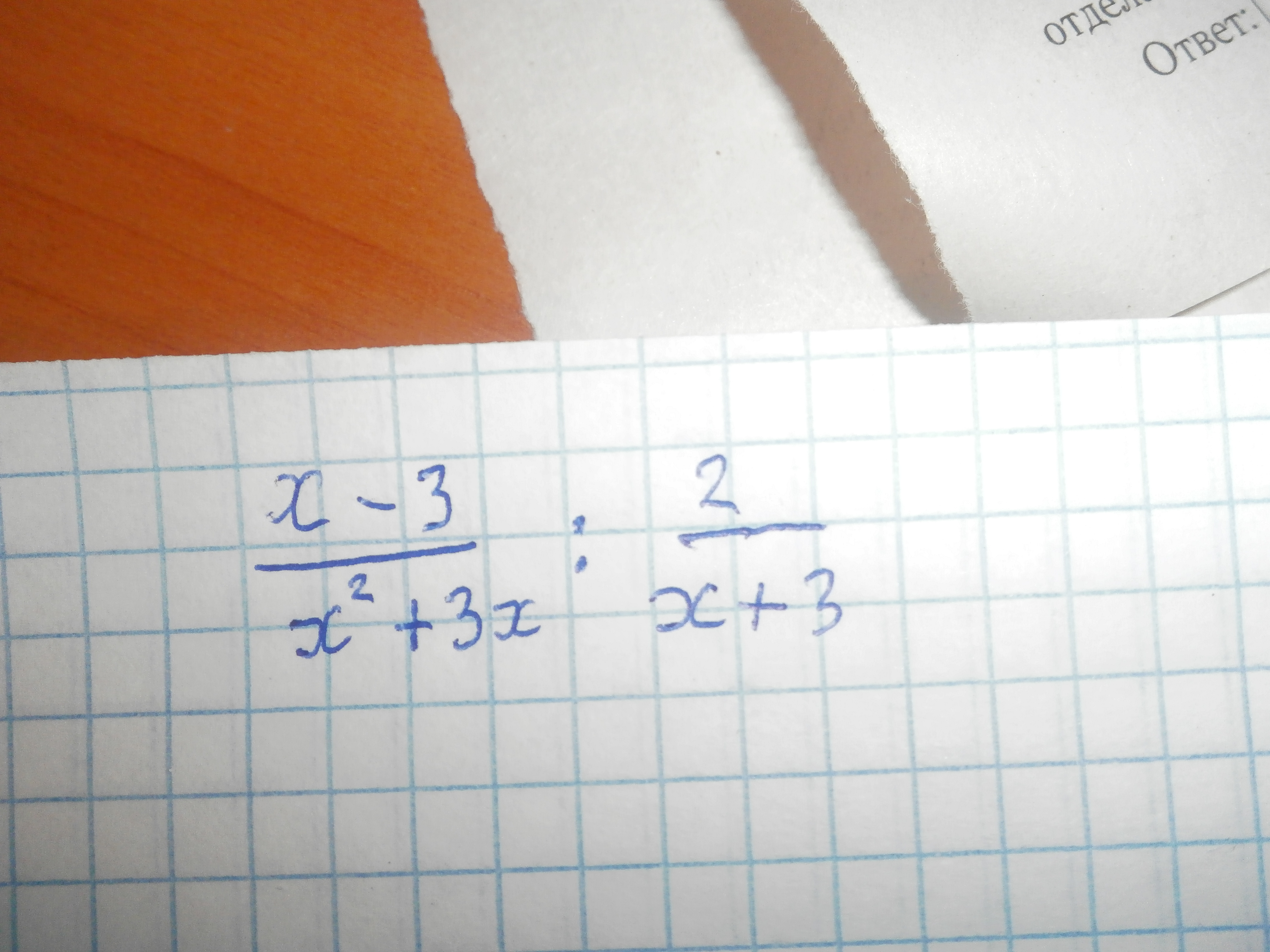
• Упростить выражение и найти значение при х=5 (С объяснением!)

    question img

Ответы 1

  • Х-3/Х*2+3Х: 2/Х+3  При делении дроби на дробь мы числитель 1 дроби умножаем на знаменатель второй и ставим  значение в числитель,,а знаменатель 1 дроби умножаем на числитель 2-й дроби и полученное выражение ставим в знаменатель,получим-(Х-3)*(Х+3)/2(Х*2+3Х)= в знаменателе Х выносим за скобку=(Х-3)(Х+3)/2Х(Х+3)=  теперь Х+3 в числителе и Х+3 в знаменателе сокращаем и остается=(Х-3)/2Х и вычисляем при Х=5(5-3)/2*5=2/10=1/5
    • Автор:

      damarion
    • 6 лет назад
    • 0
  • Добавить свой ответ

Еще вопросы

Войти через Google

или

Забыли пароль?

У меня нет аккаунта, я хочу Зарегистрироваться

How much to ban the user?
1 hour 1 day 100 years