• решите пожалуйста т-2 с 7-9 завтра сдавать, буду благодарен

    question img

Ответы 2

  • ок
    • Автор:

      miranda50
    • 6 лет назад
    • 0
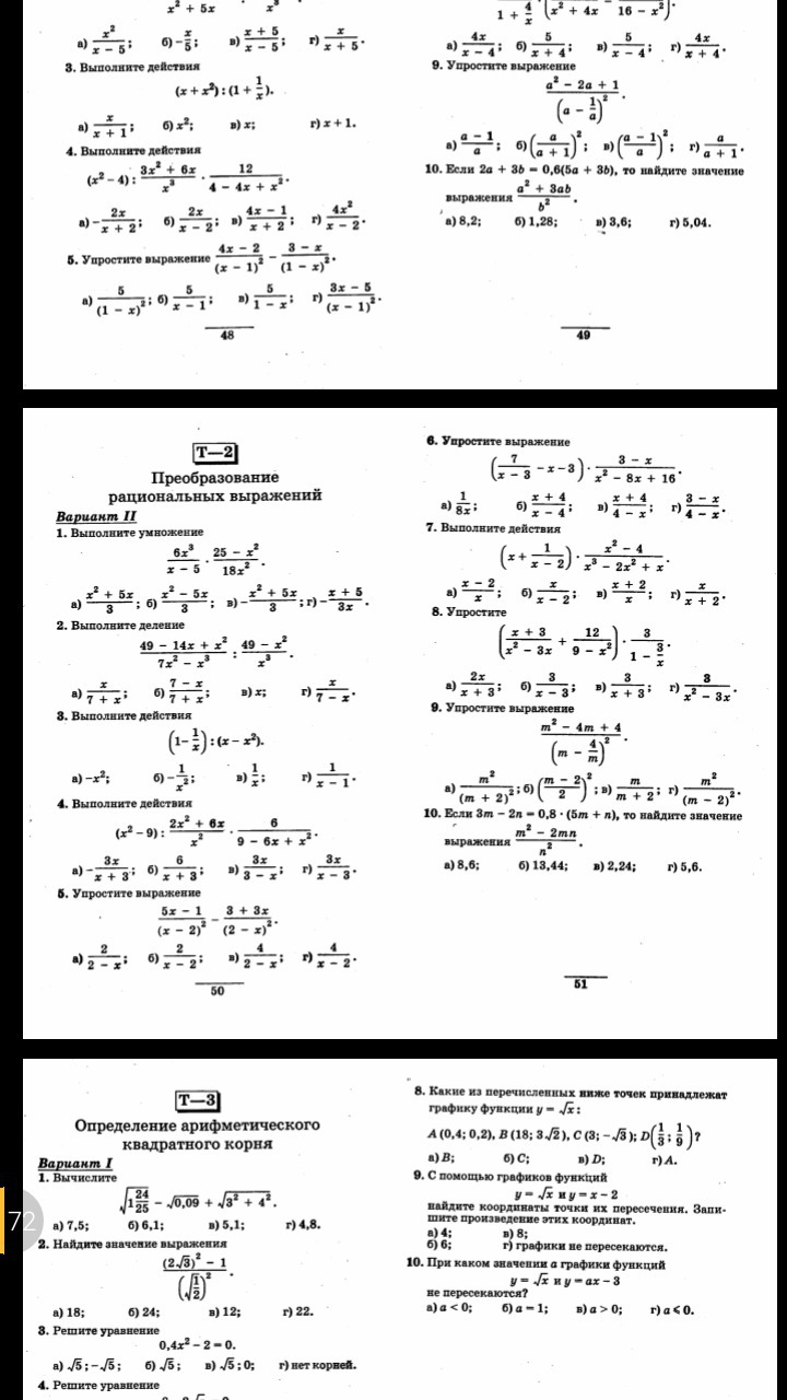
  • \displaystyle 7)..(x+\frac{1}{x-2})*\frac{x^{2}-4}{x^{3}-2x^{2}+x}=\frac{x^{2}-2x+1}{x-2}*\frac{(x-2)(x+2)}{x(x^{2}-2x+1)}=\frac{x+2}{x}               \displaystyle 8)..(\frac{x+3}{x^{2}-3x}+\frac{12}{9-x^{2}})*\frac{3}{1-\frac{3}{x}}=\\\\=(\frac{x+3}{x(x-3)}+\frac{12}{(3-x)(3+x)})*\frac{3x}{x-3}=\\\\=(\frac{x+3}{x(x-3)}-\frac{12}{(x-3)(x+3)})*\frac{3x}{x-3}=\frac{((x+3)^{2}-12x)*3x}{x(x-3)^{2}(x+3)}=\\\\= \frac{3(x^{2}-6x+9)}{(x-3)^{2}(x+3)}=\frac{3(x-3)^{2}}{(x-3)^{2}(x+3)}=\frac{3}{x+3};   \displaystyle 9)..\frac{m^{2}-4m+4}{(m-\frac{4}{m})^{2}}= \frac{m^{2}(m-2)^{2}}{(m^{2}-4)^{2}}}=\frac{m^{2}(m-2)^{2}}{(m-2)^{2}(m+2)^{2}}= \frac{m^{2}}{(m+2)^{2}};
    answer img
  • Добавить свой ответ

Войти через Google

или

Забыли пароль?

У меня нет аккаунта, я хочу Зарегистрироваться

How much to ban the user?
1 hour 1 day 100 years