• Помогите решить срочно решение подробно пожалуйста )

    question img

Ответы 4

  • бл тупанул спасибо
    • Автор:

      willie
    • 6 лет назад
    • 0
  • незачто
    • Автор:

      acosta
    • 6 лет назад
    • 0
  • фiя можешь помочь с моим вопросом у меня на стене
    • Автор:

      bush
    • 6 лет назад
    • 0
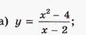
  • y=(x-2)(x+2)/(x-2)⇒(x-2) сокращается и получается y=x+2
    • Автор:

      jakehne9
    • 6 лет назад
    • 0
  • Добавить свой ответ

Войти через Google

или

Забыли пароль?

У меня нет аккаунта, я хочу Зарегистрироваться

How much to ban the user?
1 hour 1 day 100 years