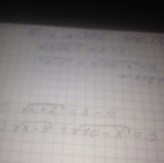
• Ребят. Помогите решить 2 нижних примерчика.Срочно, завтра контрольная а я не разбираюсь в этом;(

    question img

Ответы 1

  • 1) одз: х+2>=0                 x-4>=0x>=-2                               x>=4                    x принадлежит [4;+бесконечности]Возведём в квадрат обе части уравнениях+2=(х-4)^2x+2=x^2-8x+16x^2-9x+14=0D=81-56=25x1=2 посторонний корень       x2= 7Ответ : 7 2)Одз: х-5>=0                10-x>=0            x>= 5                   x<=10                       x принадлежит [5;10]корень из (х-5) =3 -  корень из (10-х)возводим в квадрат обе части уравнениях-5= 9 - 6( корней из (10-х)) + 10-х2х-24=-6 (корень из (10-х))х-12=-3(кореньиз (10-х))возводим в квадрат обе части уравнениях^2-24x+144=90-9xx^2-15x+54=0D=225-216=9x1=9         x2=6ответ 6;9
    • Автор:

      jrjz21
    • 6 лет назад
    • 0
  • Добавить свой ответ

Еще вопросы

Войти через Google

или

Забыли пароль?

У меня нет аккаунта, я хочу Зарегистрироваться

How much to ban the user?
1 hour 1 day 100 years