• тригонометрические уравнения с одз
    срочно нужно решить,заранее спасибо

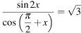
    question img
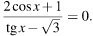
    question img

Ответы 1

  • 1) sin2x/ cos(π/2 + x) = √3; cos(π/2 + x) =  - sinx ≠ 0;x ≠ π*k; k∈Z.sin 2x = 2 sin x cos x;⇒2 sin x * cos x / - sin x = √ 3;- 2 cos x = √ 3;cos  x = - √ 3/2;x = + - 5 π/6 + 2πk;  k -Z1) 2 cos x + 1 / tg x - √ 3 = 0;tg x - √ 3 ≠ 0;tg x ≠ √ 3;x ≠ π/3 + πk; k-Z.2 cos x + 1 = 0;cos x = - 1/2;x = 2π/3 + 2πk; k-Z   ∈ одз;x = - 2π/3  + 2πk; k-Z ∉ одз.Ответ х = 2π/3  + 2πk; k-Z
    • Автор:

      blackie25
    • 6 лет назад
    • 0
  • Добавить свой ответ

Еще вопросы

Войти через Google

или

Забыли пароль?

У меня нет аккаунта, я хочу Зарегистрироваться

How much to ban the user?
1 hour 1 day 100 years