• помогите решить пожалуйста !!!!
    срочно надо умоляю

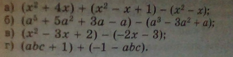
    question img

Ответы 1

  • а) = х²+4х+х²-х+1-х²+х=х²+4х+1б) = а³+5а²+3а-а-а³+3а²-а=8а²+ав) = х²-3х+2+2х+3=х²-х+5г) = авс+1-1-авс=0
    • Автор:

      allywmeu
    • 6 лет назад
    • 0
  • Добавить свой ответ

Войти через Google

или

Забыли пароль?

У меня нет аккаунта, я хочу Зарегистрироваться

How much to ban the user?
1 hour 1 day 100 years