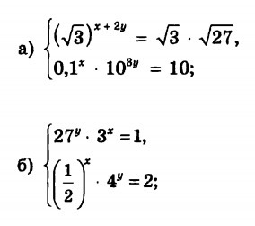
• Решить 2 системы уравнений и 2 уравнения. Задания во вложениях. Уровень 11 класса.

    question img
    question img
    question img

Ответы 1

  • решение первой и последней фотки на фото
    answer img
  • Добавить свой ответ

Войти через Google

или

Забыли пароль?

У меня нет аккаунта, я хочу Зарегистрироваться

How much to ban the user?
1 hour 1 day 100 years