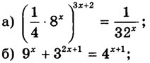
• Решите пожалуйста уравнения, или найдите решение в интернете, я не нашел...

    question img

Ответы 2

  • спасибо!
  • Ответ в приложении------------------------
    answer img
    • Автор:

      cashggis
    • 6 лет назад
    • 0
  • Добавить свой ответ

Войти через Google

или

Забыли пароль?

У меня нет аккаунта, я хочу Зарегистрироваться

How much to ban the user?
1 hour 1 day 100 years