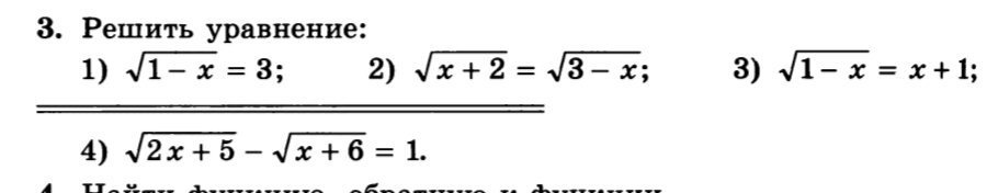
• Уравнения, пожалуйста, помогите решить. Хоть сколько-нибудь

    question img

Ответы 1

  • 1,2 и 3 в них обе части возводят в квадрат, дальше легко, а вот 4 я чет не помню, ссори
  • Добавить свой ответ

Еще вопросы

Войти через Google

или

Забыли пароль?

У меня нет аккаунта, я хочу Зарегистрироваться

How much to ban the user?
1 hour 1 day 100 years