• ОЧЕНЬ СРОЧНО!!!!!!!!!!!!!!НАПИШИТЕ ПОЖАЛУЙСТА ПРАВИЛЬНО!!!!!!!!!!!ПОДРОБНОЕ РЕШЕНИЕ ТОК ПРАВИЛЬНО!!!!!!!!!!!!!!!ОТДАЮ ВСЕ СВОИ 51 БАЛЛА!!!!!!!!!!!!!!!!

    question img
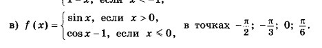
    question img

Ответы 3

  • это правильно?
    • Автор:

      nemo75
    • 6 лет назад
    • 0
  • 100%
  • Это функция модуль Х.Значения в точках:f (-2)=-(-2)=2f (-1/3)=-(-1/3)=1/3f (0)=0f (5)=5
    • Автор:

      kendra
    • 6 лет назад
    • 0
  • Добавить свой ответ

Еще вопросы

Войти через Google

или

Забыли пароль?

У меня нет аккаунта, я хочу Зарегистрироваться

How much to ban the user?
1 hour 1 day 100 years