Решите уравнение.Если уравнение имеет более одного корня, то в ответе укажите больший из его корней.
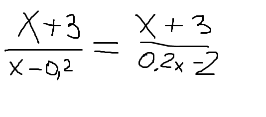
(х+3)(0,2х-2)=(х+3)(х-0,2)
0,2х-2=х-0,2
-0,8х=1,8
х=-2,25
Автор:
nibbyДобавить свой ответ
Внутри прямого угла АОВ проведён луч ОС.Найдите градусные меры углов АОС и СОВ,если: а)угол АОС в 5 раз больше угла СОВ б)разность градусных мер углов СОВ и АОС равна 46 градусам в)угол АОС в 4 раза меньше угла СОВ ( Решать с помощью Х. Начало:Пусть Х......) ПОМОГИТЕ ПРОШУ
Предмет:
МатематикаАвтор:
claraujmgОтветов:
Смотреть
Что толкнуло офицера и дворянина на путь разбоя и грабежа?
Предмет:
ЛитератураАвтор:
velezОтветов:
Смотреть
Предмет:
Русский языкАвтор:
joshuaОтветов:
Смотреть
найдите значение параметра а при котором касательная к графику функции у=а(7+кос2х) в точке с абсциссой х=п/6 паралельна прямой у=-корень3х +7
Предмет:
МатематикаАвтор:
annutb3Ответов:
Смотреть