• МНОГО БАЛЛОВ!
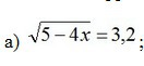
    Решите иррациональное уравнение:

    question img

Ответы 2

  • Ответ в приложении &^/#@/&$-
    answer img
  • √5-4х = 3,2(√5-4х)² = (3,2)²5-4х = 10,24-4х = 10,24 - 5-4х = 5,24х= 5,24 : (-4)х = - 1,31                   Проверка √5-4*(-1,31) = 3,2                                    √5+5,24 = 3,2                                    √10,24 =3,2                                        3,2=3,2 верно ОТВЕТ:  -1,31  
    answer img
    • Автор:

      ivyhogan
    • 6 лет назад
    • 0
  • Добавить свой ответ

Войти через Google

или

Забыли пароль?

У меня нет аккаунта, я хочу Зарегистрироваться

How much to ban the user?
1 hour 1 day 100 years