• ДАЮ 45 БАЛЛОВ. помогите с алгеброй 11 класс
    РЕШИТЕ ПОД ЦИФРОЙ 9

    question img
    question img

Ответы 7

  • А-а-а-а-а
    • Автор:

      riley22
    • 6 лет назад
    • 0
  • Под цифрой 9 ещё проще. 5 минут...
  • хорошо, жду
    • Автор:

      dianaplsm
    • 6 лет назад
    • 0
  • Поправил. Держите.
  • спасибо
    • Автор:

      mathews
    • 6 лет назад
    • 0
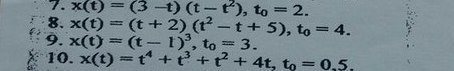
  • Итак, закон движения материальной точки задан уравнением  x(t) = (t-1)^3 ,  t \in [0;10] ,  t_0 = 3 .Вначале найдём законы изменения скорости и ускорения: v(t) = x'(t) = \left((t-1)^3ight)' = 3(t-1)^2  a(t) = v'(t) = 6(t-1) 1. Средняя скорость по перемещению:\overline{v} = \frac{x(10) - x(0)}{10} = \frac{(10-1)^3 - (-1)^3}{10} = 72,8 (м/с).2. Скорость и ускорение в момент времени t_0 = 3: v(t_0) = 3 (t_0-1)^2 = 3 \cdot 2^2 = 12 (м/с). a(t_0) = 6(t_0-1) = 6\cdot 2 = 12 (м/с^2).3. Моменты остановки:По определению, момент остановки - это такой момент времени t^{\circ}, когда v(t^{\circ}) = 0.Уравнение v(t) = 0 имеет вид 3(t-1)^2 = 0 и при t \in [0; 10] имеет решение t^{\circ} = 1. Это и есть момент остановки. Функция v(t) > 0 при t < t_0 и v(t) > 0 при t > t_0, поэтому после момента остановки точка продолжит движение в том же направлении.4. Наибольшая скорость движения:Функция v(t) = 3(t-1)^2 убывает при t \in [0;1) и возрастает при t \in (1;10] , поэтому наибольшее значение она достигает на одном из концов отрезка [0;10]. Имеем:v(0) = 3 (м/c)v(10) = 3(10-1)^2 = 243(м/с)Таким образом, v_{\max} = v(10) = 243(м/с).
    • Автор:

      maynard
    • 6 лет назад
    • 0
  • *&^/$#@$&*&^$@$^&&/$#$&
    answer img
  • Добавить свой ответ

Войти через Google

или

Забыли пароль?

У меня нет аккаунта, я хочу Зарегистрироваться

How much to ban the user?
1 hour 1 day 100 years