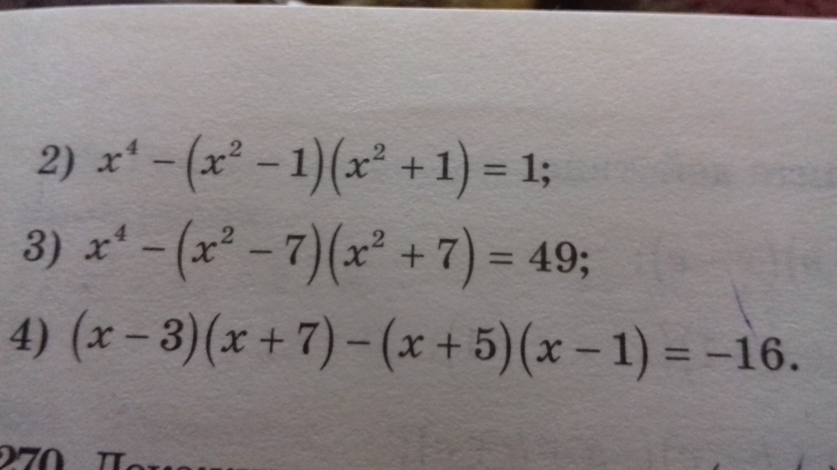
• Помогите пожалуйста доказать тождесто 3 и 4 пример

    question img

Ответы 5

  • Спасибо большое в можете помочь пожалуйста 4 пример
    • Автор:

      raisin
    • 6 лет назад
    • 0
  • там просто скобки раскрыть надо
  • Дочка не знает как
    • Автор:

      tobynflw
    • 6 лет назад
    • 0
  • я добавил продолжение
  • х^4-(х^4-7^2) =49х^4-х^4+49=4949=49-----------------------------4)(х-3)(х+7) +(х+5)(х-1)=-16;х^2+7х-3х-21+х^2-х+5х-5=-16;2х^2+8х-10=0х^2+4х-5=0х=-5 и х=1
    • Автор:

      foxy100
    • 6 лет назад
    • 0
  • Добавить свой ответ

Войти через Google

или

Забыли пароль?

У меня нет аккаунта, я хочу Зарегистрироваться

How much to ban the user?
1 hour 1 day 100 years