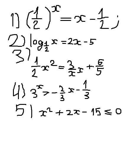
• нужно решить графическим способом решения.
    теорию не понимаю...
    завтра курсовую сдавать, нужно срочно
    большое спасибо кто решит, хоть один или два

    question img

Ответы 1

  • Х^2 +2х-15<=0а=1 в=2 с= -15Графиком является парабола, а=1>0 ветви параболы направлены вверхНайдём нуди функции:Х^2+2х-15=0Х1= -5 х2=3А(-5;0) В(3;0)Проводишь параболу так чтобы она пересекала ось Х в точках А и В и ветви не были направлены вверхТак как мы решаем неравенство <=0значит нам нужны те Х при которых парабола находится ниже оси Х +. - +------(-5)----------(3)-------- -5<=Х<=3
  • Добавить свой ответ

Войти через Google

или

Забыли пароль?

У меня нет аккаунта, я хочу Зарегистрироваться

How much to ban the user?
1 hour 1 day 100 years