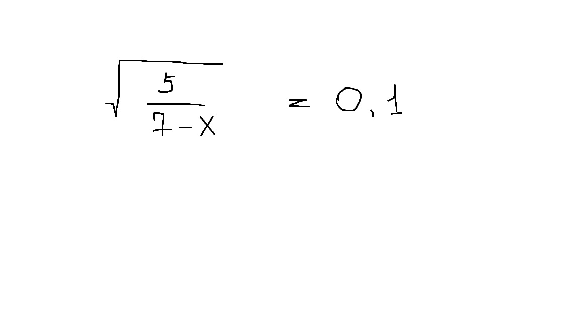
не понимаю как решить !помогите! под корнем : 5/7-х = 0,1
Предмет:
АлгебраАвтор:
janessao3fiобе части в квадрат возводим и получаем:
5/7-x=0,01
домножаем на 7-х
5=0,01(7-х)
5=0,07-0,01х
0,01х=0,07-5
0,01х=-4,93
х=-4,93/0,01
х=-493
Автор:
itchy4nvsподкоренное выр. должно быть неотрицательным.
5/7-х=0,01
Автор:
parkercs9xДобавить свой ответ
Чиполлино решил купить для кума Тыквы дом за 500 сольдо,но пока он копил деньги,цены на недвижимость выросли на 25 %.Сколько теперь должен заплатить Чиполлино за такой дом?
Предмет:
МатематикаАвтор:
ericksonОтветов:
Смотреть
Предмет:
Английский языкАвтор:
dawnОтветов:
Смотреть
вычти число 7 с помощью таблицы сложения
Предмет:
МатематикаАвтор:
royОтветов:
Смотреть
Предмет:
Русский языкАвтор:
victor7qc5Ответов:
Смотреть