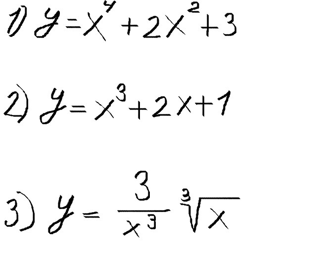
• ПОМОГИТЕ ПОЖАЛУЙСТА!!! определить четность и нечетность функций. Только упрощенно.
    P.S. можно решение картинкой отправить.

    question img

Ответы 1

  • (-X)^4 + 2(-X)^2 +3=x^4 +2x^2 +3Функция четная т.кf(-X)=f(X)(-X)^3 + 2(-X)+1=-x^3 -2x +1Не является ни четной ни нечётная.
    • Автор:

      rhett14
    • 6 лет назад
    • 0
  • Добавить свой ответ

Войти через Google

или

Забыли пароль?

У меня нет аккаунта, я хочу Зарегистрироваться

How much to ban the user?
1 hour 1 day 100 years