• ПОМОГИТЕ ПОЖАЛУЙСТА!!! определить четность и нечетность функций. Только упрощенно.
    P.S. можно решение картинкой отправить.

    question img

Ответы 1

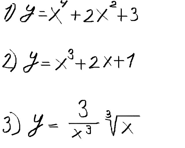
  • вспомним что такое четность или нечетностьy(-x)=y(x) - четнаяy(-x)=-y(x) - нечетная\displaystyle y=x^4+2x^2+3

y(-x)=(-x)^4+2(-x)^2+3=x^4+2x^2+3ЧЕтная\displaystyle y=x^3+2x+1

y(-x)=(-x)^3+2(-x)+1=-x^3-2x+1функция не является ни четной ни нечетной\displaystyle y= \frac{3}{x^3} \sqrt[3]{x}

  \displaystyle y(-x)= \frac{3}{-x^3} \sqrt[3]{-x}= \frac{3}{x^3} \sqrt[3]{x}    Четная
  • Добавить свой ответ

Войти через Google

или

Забыли пароль?

У меня нет аккаунта, я хочу Зарегистрироваться

How much to ban the user?
1 hour 1 day 100 years